Logo Logo
  • Doma
  • Case studies
  • Kontaktirajte nas!
  • Članovi tima
  • Aktivnosti

Contact Info

  • Email contact@solitonanalytics.com

Additional Links

  • Doma
  • Case studies
  • Kontaktirajte nas!
  • Članovi tima
  • Aktivnosti

Connect With Us

Case studies

  • Home
  • Case studies

Sve

Deskriptivna analiza

Dijagnostika

NowCasting

Prediktivna analitika

Preskriptivna analitika

  • Deskriptivna analiza
  • Dijagnostika
  • NowCasting
  • Preskriptivna analitika

Kako duboka analitika utječe na sport?

Prije analize bilo kojih podataka, moramo imati u vidu da podaci ne pričaju na glas, niti se korisne predikcije rađaju same od sebe samo na bazi postojanja podataka. Od izuzetne je važnosti znati kako pravilno pristupiti podacima i iz kojih izvora, kako efikasno pročistiti podatke te kako na bazi dostupnih podataka predložiti odnosno izgraditi model […]

Pročitaj više
  • Deskriptivna analiza
  • Dijagnostika
  • Prediktivna analitika

Koliki je gubitak ako iznenadna potražnja nije zadovoljena?

Klijenta je zanimalo koliki su financijski gubici ukoliko ne uspije zadovoljiti potražnju za proizvodima u pikovima (pogledati sliku inicijalnog problema). Analiza je pokazala kako sa trenutnim postavkama u svojim procesima griješi u opskrbi prosječno 1  0,5 proizvoda po lokaciji, te se iz grafa može vidjeti kako je to odstupanje rijetko kada veće od 2 […]

Pročitaj više
  • Deskriptivna analiza
  • Dijagnostika
  • Prediktivna analitika

Nesavladivi kaos?

Klijent je želio saznati kako što bolje zadovoljiti potražnju kupaca za proizvodima u fast moving consumer goods segmentu ponude na svojim prodajnim mjestima, kroz optimalnu logističku potrebu Sam klijent je bio u posjedu podataka o potražnji za pojedinim proizvodom na pojedinoj prodajnoj lokaciji. Na slici možemo vidjeti grafički prikaz potražnje, te je klijenta zanimalo kako […]

Pročitaj više
  • Deskriptivna analiza
  • Dijagnostika
  • Preskriptivna analitika

Analizom do pametnije investicije

Klijent je želio saznati cjenovnu osjetljivost kupaca prema premium proizvodima na postojećoj prodajnoj lokaciji. Deskriptivna analiza pokazala je da tog specifičnog prodavatelja posjećuju kupci srednje kupovne moći i slabog interesa prema premium proizvodima u ukupnom prometu. Omogućena veća fokusiranost na segment koji privlači njegove kupce, i usmjeravanje investicije u pravom smjeru. Na grafu je na […]

Pročitaj više
  • Deskriptivna analiza
  • Dijagnostika
  • Preskriptivna analitika

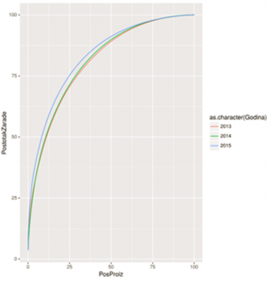
Možemo li ostvariti jednake prihode sa manjim troškovima?

Klijent je želio istražiti može li optimizirati svoju ponudu, a da pri tome nema negativan učinak na prihod. Graf pokazuje odnos postotka jedinstvenih proizvoda u odnosu na postotak od ukupne prodaje, jasno naznačuje da je tek u 2015. napravljena prava selekcija prodajnog asortimana. Gdje je s 25% jedinstvenih proizvoda ostvareno 75% prihoda, s time da […]

Pročitaj više
  • Deskriptivna analiza
  • Dijagnostika
  • Prediktivna analitika

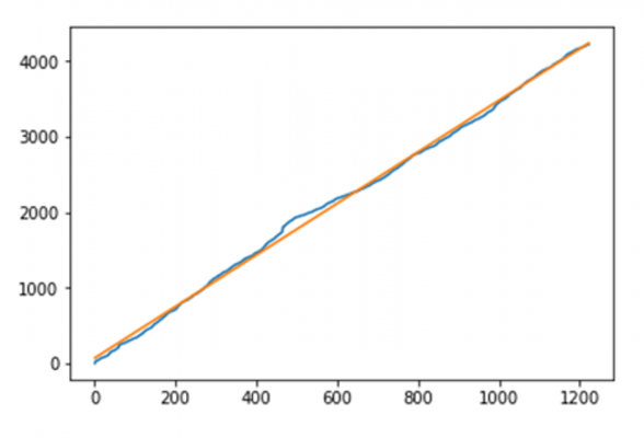
Koliko unaprijed možemo predvidjeti broj gostiju?

Usporedimo li prediktivni model s povijesnim podacima, možemo vidjeti kako model s jako malim odstupanjem predviđa broj noćenja i dvije godine unaprijed. Na grafu crvenom linijom su prikazani stvarni povijesni podaci broja noćenja, a plava je predikcija po modelu

Pročitaj više
  • Deskriptivna analiza
  • Dijagnostika
  • Prediktivna analitika

Predviđanje broja noćenja na mikrolokaciji

Procjena dolazaka turista u regiju sa javno dostupnim podacima sa posebno razvijenim modelima. Modeli koji su razvijeni pokazali su se izuzetno dobro u praksi. Na slici vidimo predviđanje za jednu regiju (crna boja) prema stvarnim dolascima u toj godini (crvena boja). Odstupanje predikcije od realiziranih brojeva je skoro i zanemariva.

Pročitaj više
  • Deskriptivna analiza
  • Dijagnostika
  • Preskriptivna analitika

Možemo li na vrijeme otkriti kada potencijalni kupci gube interes za kampanjom?

Klijent je želio saznati kako će se utjecaj marketinške kampanje prenijeti na interes potencijalnog kupca. Klijent je odlučio raditi marketinšku aktivnost na jednoj od 30 usluga koje nudi na tržištu. Rezultati analize pokazali su da je interes nakon prvih tjedan dana ušao polako u saturaciju i da nastavak kampanje s planiranim konstantnim ulaganjem sredstava po […]

Pročitaj više
  • Deskriptivna analiza
  • Dijagnostika
  • Preskriptivna analitika

Imaju li marketinške aktivnosti utjecaj na rast potražnje?

U današnjem svijetu je važno znati utječu li naše marketinške aktivnosti na potražnju. Prateći Vaše marketinške aktivnosti kroz vremenske serije možemo utvrditi imaju li one utjecaja na rast potražnje, koliki je vremenski odmak između marketinških aktivnosti i reakcije tržišta u vidu potražnje.

Pročitaj više
Logo

Make data-driven business decisions based on real science

Korisni linkovi

  • Događaji

Saznaj više!

  • Pristup
  • Važnost duboke analitike

Kontakt

  • Email: contact@solitonanalytics.com

© Copyright 2021. Soliton Analytics & STRINGBIND

  • Članovi tima
  • Kontaktirajte nas!
  • Iz medija